
地 址:上海市金山區興塔工業區
咨詢電話:021-57362601
圖文傳真:021-33250343
電子郵箱:hanyuev@126.com
網 址:http://www.mls998.com
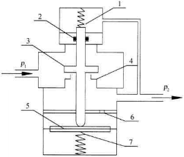
研究的逆向卸荷式氣體減壓閥工作原理如圖1所示,它將出口壓力反饋至副彈簧腔,卸掉入口壓力作用在閥芯運動系統上的不平衡力,這樣大大改善了減壓閥的精度調節特性。閥芯桿3 與阻尼罩上環形間隙連同阻尼孔一起起到阻尼作用,有利于氣體減壓閥的動態穩定。

1、副彈簧 2、密封圈 3、閥芯 4、閥座 5、敏感元件 6、阻尼罩 7、主彈簧
圖 1 逆向卸荷式減壓閥工作原理圖
在氣體減壓閥的動態數學建模時,特作如下假設:
1、視工作介質為理想氣體,氣流為定常絕熱流動;
2、閥腔內的氣體參數用集中參數方法來描述,即腔體內氣體的壓力、密度及溫度分布均勻;
3、不計密封不良造成的氣體泄漏流量的影響,即當閥芯開度x=0時,質量流量qm=0;
4、忽略氣體的位能,同時氣體的動能與內能相比很小,可忽略不計。
一、質量流量方程
對于氣體流過減壓閥的節流口或限流孔時,一般情況下,可將孔口近似當作收縮噴嘴來處理,因此可得孔口的質量流量為

式中,Cd為孔口流量系數;A為孔口截面面積;Pi、Pe分別為孔口的入、出口壓力;Ti為孔口的入口溫度;ε0為臨界壓力比(對于空氣及雙原子氣體ε0=0.528)
二、質量守恒方程
根據質量守恒定律,在任何瞬時,流出控制體的質量流量等于控制體內的質量對時間的減少量,則控制腔內的質量守恒方程為
![]()
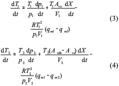
由氣體的狀態方程M=pV/RT及腔體體積的變化規律可得,高、低壓腔的質量守恒方程分別為

式中,x0為閥芯的初始開度;x、X為閥芯開度與運動位移;qmi、qm1、qm2為入口,節流口與出口處流量;V1、V2分別為高低壓腔的體積;Avc、Amb分別為閥芯與膜片有效作用面積。
三、能量守恒方程
由于忽略了氣流的位能與動能,當氣體減壓閥處于動態調節過程時,高、低壓腔的體積也隨之變化,同時腔體內的氣體還需做機械功。因此,可得腔體內的能量方程為
![]()
把氣體的內能方程E1=CvTM及焓h=CpT代入上式,并化簡得高、低壓腔的能量守恒方程分別為

四、質量系統的運動方程
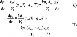
在氣體減壓閥的動態調節過程中,作用在閥芯等運動部件上的力除了氣體壓力、彈簧力外,還有摩擦力、阻尼力及流體流動作用力等非線性因素。對運動組件進行受力分析后,可寫出其運動系統的動力平衡方程為

式中M為運動組件的有效質量;C為阻尼系數;Fk為彈簧預安裝力;Ffr為摩擦力;Ffl為流體流動作用力則由以上式(3)、(4)、(6)、(7)及式(8)所組成的微分方程組就構成了減壓閥調節系統的動態數學模型。
網站首頁